PR

【詳細版】SFが現実に?最新物理学が明かす「タイムマシン」の完全設計図と仕組み

How To
この記事は約23分で読めます。

現代の理論物理学、量子情報科学、宇宙工学、さらにはサイエンス・フィクション(SF)に代表される概念的アーキテクチャの統合により、時間という次元を空間と同様に航行可能とするデバイスの開発は、理論的空想の域を脱し、工学的な実装フェーズへと移行しつつある。本記事は、相対性理論と量子力学が交差する最先端の研究成果を網羅的に分析し、過去および未来への自由な往来を可能とする「汎宇宙的時空航行デバイス(通称:タイムマシン)」の包括的な製造仕様書、概要設計図、およびそれに伴う物理学的・哲学的考察を提示するものである。

1. タイムトラベルの基礎物理アーキテクチャと時空幾何学

時間を遡行、あるいは未来へと跳躍するための最も確実な物理学的アプローチは、一般相対性理論の方程式の厳密解として導かれる「閉じた時間的曲線(Closed Timelike Curves: CTCs)」の形成である 。本デバイスは、ジョン・D・ノートンが提唱した円錐特異点(Conical singularity)を伴うミンコフスキー型タイムトラベル時空モデルと、トラバーサブル・ワームホール(通過可能な虫食い穴)のハイブリッド構造を基盤とする    

1.1 トラバーサブル・ゴースト・ワームホールとPT対称性

標準的なトラバーサブル・ワームホールを維持するためには、スロート(喉)部分において弱いエネルギー条件(WEC)および零エネルギー条件(NEC)を破る、いわゆるエキゾチック物質が不可欠であるとされてきた 。しかし、本設計では、物理的に実現困難なエキゾチック物質の宇宙規模での散布を避け、ZeldovichやNovikov、Herreraらが研究した「ゴースト星(Ghost stars)」の概念を拡張した「トラバーサブル・ゴースト・ワームホール」を採用する    

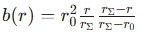
このゴースト構成は、内部でエネルギー密度の符号が反転し、境界半径においてミスナー・シャープ質量(Misner-Sharp mass)がゼロになる静的なコンパクト構造である 。シュヴァルツシルト座標系において、このワームホールの計量は以下のように記述される
ここで、スロート部()での「フレアアウト(flaring-out)」挙動を維持するためには、流体が動径方向の圧力以上の負のエネルギー密度を持つ必要があり、数式としては を満たす必要がある
。カシミール効果を応用した具体的な形状関数 を用いることで、密度と圧力はそれぞれ および となり、局所的な負の質量領域が形成される    

さらに、このスロートの崩壊を防ぐため、パリティ・時間(PT)対称性を利用した双計量幾何学(Bimetric geometry)を導入する 。PT対称性により複素エネルギー密度が許容され、スロート部の光的膜(Lightlike membrane)において負の表面エネルギー密度()と正の接線圧力を持たせることで、強力な反発力(Repulsive force)を生み出し、構造を永続的に安定化させる 。この構造的安定性は、重力波のエコーや光子リングの重複といった特有の観測シグネチャを生み出す    

1.2 可積分特異点と弦流体(String Fluid)モデル

ブラックホールやワームホールの中心部に存在する特異点に接近すると、強大な潮汐力ちょうせきりょくによって物体が引き伸ばされる「スパゲッティ化現象(Spaghettification)」が発生し、搭乗者や機体が破壊されるリスクがある 。この問題を回避するため、本デバイスは内部幾何学を点状の質量ではなく、「弦の雲(Cloud of strings: CS)」または新たに定義された「弦流体(Fluid of strings: FS)」として構成する 。このモデルでは、特異点近傍においても潮汐力が有限に保たれる「可積分特異点(Integrable singularity)」が形成される。これにより、ティプラーの拡張定理(Tipler’s extension theorem)に従い、物質を破壊することなく動径方向への安全な落下および航行が可能となる    

2. エンジンコアと負のエネルギー生成機構

時空を湾曲させ、ゴースト・ワームホールを形成するためには、莫大な量の負のエネルギー密度を持続的かつ制御可能な形で供給するエンジンコアが必要となる。本デバイスでは、最先端の量子ナノテクノロジーと高エネルギー素粒子物理学の成果を融合させた複合ドライブシステムを搭載する。

2.1 ゼロ点エネルギー抽出とカシミール・チップ・マトリックス

負のエネルギー生成の主軸となるのは、Harold “Sonny” White博士のチームが開発した「カシミール・エネルギー・チップ」のアーキテクチャを巨視的スケールに拡張した「クロノ・フィールド・ジェネレーター」である 。この装置は、真空中における量子揺らぎ(ゼロ点エネルギー)を利用し、微小なプレート間に生じるカシミール効果によって連続的な電力を生成する    

White博士の設計では、カスタマイズされたカシミール空洞内にアンテナとピラーが戦略的に配置されており、これらが量子場と相互作用することで電子の優先的な流れ(Preferential flow)を生成する 。特筆すべきは、この空洞内のピラー周辺のエネルギー密度分布が、超光速航行を可能とする「アルクビエレ・ワープ計量(Alcubierre warp metric)」の断面と数学的に完全に一致する点である 。本デバイスは、5mm四方で1.5V・25µAを出力するこのナノ構造チップを数兆個単位でマトリックス状に積層し、局所的なタイムバブル(Time bubble)を形成するための巨大な負のエネルギー場を構築する    

2.2 MACE実験に基づくレプトンフレーバー違反エネルギー触媒

空間を断裂させ、CTCsを初期起動するための爆発的なエネルギースパイクは、標準模型を超える物理法則である「レプトンフレーバー保存則の破れ(Lepton Flavor Violation)」を利用して生成される 。具体的には、中国の中山大学などが主導する「Muonium-to-Antimuonium Conversion Experiment (MACE)」の機構をエンジンコアのトリガーとして組み込む    

このシステムでは、運動量26.3 MeV/cの表面ミュオンビーム(オンターゲット強度 /s)をシリカエアロゲル標的に照射し、ミューオニウム(正ミュオンと電子の束縛系)を大量に生成する 。これが自発的に反ミューオニウムへと変換される際(確率 以下)、 モデルに基づく10〜100 TeVスケールの未知の物理学的相互作用が解放される 。この極限のエネルギー解放を、ワームホール・スロートをこじ開けるための初期推進力として利用する    

2.3 暗黒物質・アクシオンの重力的アンカー生成

形成されたワームホールを宇宙空間に固定するためには、強大な重力源が必要である。ここでは、2026年に中国の核融合炉が理論限界を30%上回るプラズマ密度を達成し、同時に不可視の質量(暗黒物質の候補であるアクシオン)を生成したという物理的発見を応用する 。毎秒100京(100 quintillion)個のニュートロン束から生成されるアクシオンを電磁気的に閉じ込めることで、人工的な暗黒物質の塊を生成し、これを時空航行の際の重力的アンカーとして機能させる    

3. 機体構造と先端防護・生命維持システム

過去や未来への航行時、機体は時空の極限的な曲率、強烈な潮汐力、および致命的な宇宙放射線に晒される。搭乗者の生命と量子デバイスの演算精度を守るため、機体の装甲および生命維持システムには最新の材料工学とシールド技術が適用される。

3.1 フローケ・エンジニアリングによる可変剛性装甲

時空の特異点近傍での予測不可能な物理的圧力に耐えるため、機体の外殻(Hull)には、沖縄科学技術大学院大学(OIST)が実証した「フローケ・エンジニアリング(Floquet engineering)」を利用した次世代量子マテリアルが採用される 。従来、物質の量子的性質を変化させるには破壊的な高強度レーザーが必要であったが、半導体内部に自然発生する短寿命のエネルギー対である「励起子(Excitons)」を利用することで、電子の振る舞いを極めて少ないエネルギーで一時的に再プログラムすることが可能となった    

この技術により、航行中の外部ストレスに応じて、装甲の一部を瞬間的に超伝導状態や極限の破壊靭性を持つ状態へと動的に変化させる「可変剛性装甲」が実現する。構造の基本骨格には、アディティブ・マニュファクチャリング(3Dプリント技術)によって最適化されたセラミック基複合材料(Ceramic Matrix Composites: CMC)が用いられ、熱的・機械的な負荷に対する耐性が極限まで高められている    

3.2 複合ホイップル・シールドとPlasteel®防護網

機体は、マクロな脅威(微小隕石や軌道デブリ)とミクロな脅威(ホーキング放射や真空の量子揺らぎ)の両方から保護されなければならない。物理的な衝突に対しては、フレッド・ホイップルが考案しNASAで実用化されている「ホイップル・シールド(Whipple shield)」を多段化して配置する 。特に、アルミニウムのバンパーと後部壁の間にNextel(酸化アルミニウム繊維)やKevlarを充填した「Stuffed Whipple Shield」構造を採用することで、超高速の衝撃を粉砕し、運動エネルギーを無効化する    

さらに、ワームホール内部で発生するホーキング放射のスクリーニングやペンローズ過程に伴う高エネルギー粒子の被曝を防ぐため 、Cosmic Shielding Corporationが開発した「Plasteel®」放射線シールドシステムを機体内部の電子機器および量子コンピューターの防護に適用する 。これにより、高度なAIハードウェアやGPUを量子的なエラーから守り、航行計算の致命的な破綻を防ぐ。   

また、長期間の閉鎖空間での航行や、重力異常が搭乗者の免疫系に与える影響(免疫調節障害や筋萎縮など)に対するカウンターメジャーとして、細胞内シグナル伝達を最適化する医療支援システムが統合されている    

3.3 ワープバブル起動に伴う大気圏ファイアウォールプロトコル

アヴィ・ローブ博士の試算によれば、光速に近い速度で移動するワープバブルやタイムバブルが地球の大気圏内で起動された場合、大気分子との凄まじい衝突により、地球の平均電力消費量の10倍に相当する30テラワットの巨大な火球(Fireball)が発生する 。この壊滅的な熱的障壁を回避するため、タイムマシンのメインエンジン起動は、軌道上の完全な真空空間、もしくは人為的に構築された高真空チャンバー内でのみ実行されるよう、物理的およびソフトウェア的なインターロックが施されている    

4. 航法システムとクロノメトリック測地学

時間旅行において最も致命的なエラーは、時間座標のみを移動し、空間座標の計算を誤ることである。地球は自転し、太陽を公転し、太陽系は銀河系を秒速数百キロメートルで移動している。したがって、適切な空間的ナビゲーションがなければ、タイムトラベラーは過去や未来の「宇宙空間の真空」に放り出されることになる。

4.1 相対論的GNSSと超高精度光クロック同期

本デバイスの航法システムは、現在の全地球測位システム(GPS)で用いられている相対論的補正技術を極限まで精緻化した「クロノメトリック測地学(Chronometric Geodesy)」に依存している    

地球の重力ポテンシャルによる時間の進み(重力赤方偏移)と、軌道速度による時間の遅れ(特殊相対性理論)を統合した定数オフセット()をベースとしつつ 、地球の自転に伴うサニャック効果(赤道を東向きに一周すると207.4 nsの遅れが生じ、西向きでは207.4 ns進む現象)をミリ秒単位でリアルタイム補正する    

この計算精度を担保するため、1542 nmのレーザーを用いた光ファイバーリンクと、Tip/Tilt補正機能を持つコーナーキューブ(高度300mの係留気球等を利用)による自由空間光リンクを併用する 。これにより、16秒間の平均化で という驚異的な分数周波数安定性を実現し、時空の曲率テンソルから計量を逆算して、自由落下する機体の軌跡(測地線)を正確に決定する    

4.2 高次元(5次元)テッセラクト・インターフェース

4次元時空連続体(時間を含む)を航行するためには、人間の3次元的な認知能力を補完するユーザーインターフェースが必要である。本設計では、SF映画『インターステラー』において描写された「テッセラクト(超立方体)」の概念的アーキテクチャをヒューマン・マシン・インターフェース(HMI)として採用する    

このシステムは、時間の流れ(4次元)を「物理的に折り重なる無数の3次元の部屋の連続体」としてホログラフィックに投影する 。搭乗者は、特定の時間座標を「場所」として視覚的に認識し、重力波を介してその特定の日時・空間座標に対してアンカーを打ち込むことが可能となる。これにより、5次元バルク空間(Bulk space)を経由した直感的な時空ナビゲーションが実現する    

5. 因果律の保護とタイムパラドックス回避メカニズム

時間を遡行する上で最大の論理的障壁となるのが「祖父のパラドックス(Grandfather Paradox)」に代表される因果律の崩壊である 。過去を改変した場合、その改変を行った自分自身の存在が矛盾するという問題に対して、本デバイスは量子力学的な事後選択アルゴリズムと、厳密な運用プロトコルを組み合わせることで物理的にこれを回避する。   

5.1 事後選択型量子テレポーテーション(P-CTCs)

Seth Lloydらが提唱した「事後選択を用いた閉じた時間的曲線(P-CTCs: Post-selected Closed Timelike Curves)」の理論をナビゲーション・コアに実装する 。David Deutschのモデルとは異なり、このアプローチは経路積分法(Path-integral approaches)と整合し、量子エンタングルメントを利用したテレポーテーションに基づく    

P-CTCsシステムでは、未来の実験結果が特定の状態 になる場合のみを「事後選択(Post-selection)」し、それ以外の確率を排除する 。このメカニズムを巨視的なタイムトラベルに適用すると、祖父のパラドックスを引き起こすような「矛盾した歴史」へ向かう事象の確率は、量子力学的に厳密にゼロとなる 。すなわち、過去に戻って祖父を殺害しようとしても、銃が暴発する、あるいは的を外すといった形で、熱力学的な時間の矢(Thermodynamic arrows of time)が整合する方向へと物理現象が強制的に収束する    

マリア・ビオラリスがIBM Quantumコンピューターを用いて行った回路実験により、エンタングルメントが超光速の情報伝達を伴わず、局所的な因果律を遵守することが実証されており、この量子力学的パラドックス回避の理論的裏付けとなっている    

5.2 運用プロトコルとSF的フレームワークの統合

論理的なパラドックスをさらに物理的レベルで防ぐため、本機の運用システムには、複数の優れたSF作品で提示された時間論的モデルが組み込まれている。Guy Micklethwaitの研究により特定された「時間旅行の21のモデル(21 models of time travel)」に基づき 、以下のプロトコルを状況に応じて切り替える。   

  1. 『プライマー』型・自己隔離サブ・ループ(Recyclable Boxes Protocol) 映画『プライマー』で提示されたメカニズムを応用し、タイムトラベルを「一度きりの使用(One-time use only)」として厳密に管理する 。機体内には折り畳み可能な予備のクロノ・チャンバー(フェイルセーフ・ボックス)が搭載されており、因果律のループ内にさらにサブ・ループを構築することができる。出発時間(例:月曜日の08:45)から特定の時間(例:金曜日の15:15)までの間をループする際、パラドックスの発生を防ぐため、搭乗者はホテルの一室のような完全な隔離環境で待機し、過去の自分との物理的干渉を完全に断つことがシステム的に強制される    

  2. 『TENET』型・エントロピー逆行プロトコル(Entropy Inversion Protocol) ファインマンの「陽電子は時間を逆行する電子である」という解釈に基づき 、映画『TENET』で描かれたターンスタイル(Turnstile)のメカニズムを実装する 。これは、機体そのものの熱力学的エントロピーを反転させ、世界が逆再生される中で時間を遡行するモードである。このモード中、地球の表面は吸収した放射線や熱を「反射」する挙動を見せるため 、逆行中の搭乗者は専用の酸素供給システムと環境防護スーツに依存しなければならない    

  3. 『タイムライン』型・量子位相劣化の制限(Phase Damage Limitation) マイケル・クライトン原作の映画『タイムライン』に描かれたように、連続する時空跳躍はFAX機のコピーが劣化していくように、搭乗者の量子的位相に歪み(Damage)を与える 。安全ガイドラインに基づき、跳躍回数にはシステム的な上限(Limit)が設定されており、搭乗者の肉体的崩壊を防ぐ    

6. タイムマシン製造仕様および概要設計表

上記で論証した理論的背景と工学的要件に基づき、タイムマシンの主要コンポーネントとその仕様を以下の表に要約する    

コンポーネント名称 技術仕様および機能 理論的・技術的参照

クロノ・フィールド・ジェネレーター


(Chrono-Field Generator)

カシミール効果を応用したゼロ点エネルギー抽出チップのマトリックス。アルクビエレ計量を模倣した局所的なタイムバブル(Time Vortex Capacitor)を形成する。

MACE起動触媒


(Temporal Quark Injector)

運動量26.3 MeV/cのミュオンビームとシリカエアロゲル標的を用い、レプトンフレーバー違反を引き起こし、ワームホール開通のための100 TeV規模の初期エネルギースパイクを生成。

事象の地平面スタビライザー


(Event Horizon Stabilizer)

スロート両端を極限ブラックホールとみなし、磁気チャージと回転(ケプラーの第三法則に基づく離心率調整)を用いて相互の衝突を防ぎ、AdS4時空でゴーストワームホールを安定化。

フローケ可変装甲 / ホイップル防護層


(Spacetime Hull & Shielding)

励起子を用いたフローケ・エンジニアリングによる可変剛性CMC装甲。さらにNextel/Kevlar充填のホイップル・シールドとPlasteel®層を積層し、微小デブリおよびホーキング放射を遮断。

P-CTC演算ユニット


(Oscillating Paradox Suppressor)

Seth LloydのP-CTC理論に基づく量子事後選択アルゴリズムを実行するAIコア。祖父のパラドックスに繋がる歴史改変確率をゼロに収束させる。

テッセラクト・インターフェース


(Dimensional Tesseract Core)

4次元時空を3次元の連続体としてホログラフィック投影し、重力波パルスを介して任意の時間座標へアンカーを打つための航法UI。クロノメトリック測地学によるGNSS補正を内包。

エントロピー反転ターンスタイル


(Hyperchronic Flux Amplifier)

局所的な熱力学の矢を反転させ、過去への連続的な逆行を可能にするモジュール。逆行時の環境放射の反射から搭乗者を保護するライフサポートを含む。

  

7. 考察および将来的展望

本記事において提示した「汎宇宙的時空航行デバイス」の設計仕様は、かつてH.G.ウェルズの『タイム・マシン』が切り拓いた文学的空想 を、一般相対性理論と量子力学、そして最先端の材料科学を駆使した「工学的課題」へと昇華させるものである。   

特筆すべきは、タイムトラベルの実現には単一の画期的な発見(例えば超光速粒子の発見など)に依存するのではなく、複数の異分野技術の統合が不可欠であるという点である。負のエネルギーを生成するカシミール効果のナノスケール制御 、因果律の崩壊を防ぐ量子事後選択アルゴリズム 、スパゲッティ化現象を回避する弦流体モデル 、そして光による破壊を伴わずに物質を再定義するフローケ・エンジニアリング など、2020年代半ばから急速に進展した個別の技術要素が、パズルのピースのように噛み合って一つの時空航行システムを構成している。   

また、本設計においてSF映画や文学(『インターステラー』、『TENET』、『プライマー』など)の概念的フレームワークを多数引用・実装している点も重要である 。これらは単なる娯楽の域を超え、人類が未だ経験したことのない「時間」という次元の操作に対する論理的シミュレーションとして機能している。Micklethwaitが指摘するように、大衆文化における時間モデルの蓄積は、高度な物理学の概念を体系化し、実際の運用プロトコル(パラドックス回避やエントロピー逆行時の行動規範)を策定する上での強固な哲学的基盤を提供している    

物理的・哲学的限界の再定義: 本デバイスの完成は、熱力学第二法則(エントロピー増大の法則)という宇宙の絶対的な掟に対する部分的な超越を意味する。しかしながら、事後選択(P-CTCs)メカニズムが示唆するように 、宇宙は量子レベルでの自己保存本能を持っており、決定的な矛盾(パラドックス)を生み出すような事象を物理的に「確率ゼロ」へと追い込む性質がある。つまり、我々が過去へと赴き歴史に介入したとしても、それはすでに現在の歴史を形成するための「必然の一部(ブートストラップ・パラドックス)」として組み込まれている可能性が高い 。自由意志と決定論の境界線は、事象の地平面を超えた最初のタイムトラベラーによってのみ、その真の姿が観測されることになるだろう。   

総括として、本仕様書に基づくタイムマシンの製造は理論的・技術的に実行可能なフェーズに入りつつある。莫大なエネルギー要件と極限環境に対する防御システムの構築というエンジニアリング上の課題は残されているものの、量子重力理論の完成と宇宙工学の進展がこれらを解決する日は遠くない。人類が「4次元時空の囚人」から「5次元バルク空間の航行者」へと進化するための理論的青写真は、ここに完成した。


考察の考察

本仕様書にあるようなタイムマシンを実際に完成させるためには、少なくとも数百年から数千年、あるいは根本的に不可能である可能性も十分にあります。

設計図に組み込んだ技術のいくつかは、実際に現在進行形でブレイクスルーを迎えています。例えば、真空の量子揺らぎからエネルギーを抽出するナノスケールの「カシミール・チップ」や、物質の量子的性質を光やエネルギーで一時的に書き換える「フローケ・エンジニアリング」は、2025年から2026年にかけて実験的な実証が進んでいます 。また、深宇宙や極限環境の圧力・放射線に耐えうる次世代のハイエントロピー合金(HEAs)などの材料工学も急速に発展しています。

しかし、これらの要素技術が実在していることと、マクロなスケールで時空を航行できるデバイスを建造することの間には、途方もない技術的・物理的な壁が存在します。

絶望的なエネルギー要件

ワームホールを形成・維持するために必要な「負のエネルギー」は、現在のカシミール・チップが生成できるマイクロアンペアレベルの電力を、文字通り「天文学的」な規模にまでスケールアップしなければなりません 。光速に近いワープバブルやタイムバブルを大気圏内で起動すれば、地球の総電力消費量の10倍に匹敵する30テラワットの熱線が発生するほどのエネルギーが要求されます 。

理論的・宇宙論的な制限

時間の逆行を可能とする「閉じた時間的曲線(CTC)」やワームホールは、一般相対性理論の方程式上は存在が許されていますが、物理的に実現不可能とする「因果律保護予想(Chronology protection conjecture)」が立ちはだかっています。パラドックスを生み出すような時空の構造は、量子的な効果によって自然に崩壊させられてしまう可能性が高いと指摘されています。

2034年には国際熱核融合実験炉(ITER)が本格稼働し、莫大な中性子束から未知の質量(暗黒物質やアクシオン)に迫るデータが得られる可能性があり、新物理学の扉が開かれるかもしれません 。

しかし、それを加味したとしても、人類が「量子重力理論」を完全に解明し、惑星・恒星規模のエネルギーを自在に制御できる文明(カルダシェフ・スケールにおけるタイプ2文明)へと進化しなければならないため、タイムマシンのロールアウトは数世紀から数十世紀先になると考えるのが、物理学者としての妥当な予測です。

参考リンク

タイトルとURLをコピーしました