詳細版【最新科学】SF映画の「バリア(シールド)」は現実になる!宇宙船を守る最強の防御システムの仕組み
- 1. はじめに
- 2. 複合防御力場のシステムアーキテクチャ
- 3. 第一層:能動的電磁プラズマ・シールドの実装仕様
- 3.1 ダイポール・トロイダル磁気圏(DTM)の構築
- 3.2 レーザー誘起プラズマチャンネル(LIPC)による衝撃波および指向性エネルギーの減衰
- 3.3 高出力マイクロ波(HPM)駆動プラズマ航跡場の応用
- 4. 第二層:電磁誘導制動と運動エネルギー散逸機構
- 4.1 渦電流とローレンツ力による極超音速制動
- 4.2 ジュール熱の管理とプラズマ・フラッシュ(Flash)の制御
- 5. 第三層:超伝導体およびメタマテリアル複合装甲の製造・実装方法
- 5.1 高温超伝導体(HTSC)MgB2コイルの3Dプリント製造
- 5.2 グラフェンおよびカーボンナノチューブ(CNT)メタマテリアル装甲
- 5.3 巨大構造物の軌道上ロボット組立て(ORASP)
- 6. 究極的防御機構:量子真空エンジニアリング
- 6.1 真空ドレスト・マテリアル(Vacuum Dressed Materials)
- 6.2 カシミール反発力による近接排斥場
- 7. 制御システム:量子コンピューティングによる磁気流体力学(MHD)制御
- 7.1 MHD不安定性のリアルタイム予測と制御
- 8. 考察 (Insights and Implications)
- 8.1 磁場とプラズマの非線形相互作用による自己収束効果(Self-Collimation)と動的防御壁
- 8.2 攻撃エネルギーの防壁維持への変換(熱力学的・電磁的寄生フィードバックループ)
- 8.3 プラズマステルス効果に伴う「盲目化」と量子通信の必然性
- 8.4 極限質量・エネルギー密度の局所的時空構造への影響とリスク
- 9. まとめ
- 参考リスト
1. はじめに
以前ご紹介した「概要版」について、もっと詳しく知りたいとのご要望がありましたので、今回「詳細版」をお届けいたします。
サイエンス・フィクションにおいて「バリア」や「シールド」として描写されてきた防御力場は、長らく純粋な想像の産物、あるいは物理法則を無視した物語上の装置とみなされてきました。しかし、現代の理論物理学、プラズマ工学、電磁気学、材料科学、および量子力学の急速な進展により、高エネルギー指向性兵器や極超音速運動エネルギー弾、さらには宇宙空間の過酷な放射線環境からマクロスケールの構造物を保護する複合防御システムの構築が理論的かつ工学的に可能となりつつあります。これまでの宇宙開発において、宇宙放射線やデブリに対する防御はアルミニウムなどの物理的な質量を用いた受動的遮蔽(Passive Shielding)に依存してきましたが、深宇宙探査や恒星間航行においては質量の増大が致命的なコストと推進効率の低下を招くため、能動的遮蔽(Active Shielding)へのパラダイムシフトが不可避となっています。
理論物理学の枠組みにおいて、実用的な防御力場は単一の魔法的な障壁ではなく、プラズマ・ウィンドウ、レーザー格子、およびカーボンナノチューブやグラフェンなどの強固な物理的メタマテリアルからなる「多層構造」として概念化されています。この記事では、最新の航空宇宙工学および物理学の研究文献を網羅的に調査し、敵対的攻撃(レーザー、高出力マイクロ波、プラズマ兵器、レールガン等)および宇宙環境の脅威(銀河宇宙線、太陽粒子事象)から宇宙艦船および地球外基地を防衛するための「複合防御力場(Hybrid Force Field Barrier)」の設計仕様、製造方法、および実装理論を精緻に定義します。
2. 複合防御力場のシステムアーキテクチャ
本システムは、飛来する脅威の物理的性質(運動エネルギー、電磁波、荷電粒子)に応じて動的かつ自己適応的に応答する4つの防衛階層を採用します。防御層の基盤となるのは、外部空間に展開されるプラズマと人工磁気圏の相互作用であり、内部に向かうにつれて高度な物理的メタマテリアル装甲や量子真空制御が機能する設計となっています。
| 防御階層 | 主たる構成要素 | 対応する主要な脅威 | 物理的減衰・相殺メカニズム |
| 第一層:外殻(Exosphere) | ダイポール・トロイダル磁気圏、レーザー誘起プラズマチャンネル | レーザー、荷電粒子兵器、衝撃波、銀河宇宙線 (GCR) | プラズマによる吸収・屈折、磁気偏向、質量分子の熱分解、圧力・体積・温度(PVT)エネルギー変換 |
| 第二層:中間殻(Mesosphere) | 電磁誘導制動場(ローレンツ力場) | レールガン、極超音速運動エネルギー弾 | 磁束変化による渦電流生成、ジュール熱変換、運動量散逸 |
| 第三層:内殻(Thermosphere) | 3DプリントMgB2超伝導体、グラフェン・CNT複合メタマテリアル | 高出力マイクロ波 (HPM)、残留物理破片 | 電磁波干渉 (EMI) の吸収損失、インピーダンス整合による反射抑制、物理的衝撃吸収 |
| 第四層:極限殻(Core) | 量子真空ドレスト・マテリアル、カシミール反発場 | 極限的構造破壊、ナノスケールの物理的接触、時空の局所的歪み | ゼロ点エネルギーによる電子・振動状態の補強、トポロジカル絶縁体による反発力の生成 |
3. 第一層:能動的電磁プラズマ・シールドの実装仕様
第一層は、艦船や基地の周囲に広大な人工磁気圏を形成し、その内部に高密度のプラズマを閉じ込めることで、指向性エネルギー兵器や物理的衝撃波のエネルギーを相殺・減衰させます。この層は、物理的な装甲がダメージを受ける前に脅威を無力化する最前線の防壁として機能します。
3.1 ダイポール・トロイダル磁気圏(DTM)の構築
宇宙空間における銀河宇宙線(GCR)や高エネルギー重イオン(HZE)、太陽粒子事象(SPE)からの被曝、および敵のプラズマ兵器から構造物を防衛するためには、極めて強力かつ広範囲に及ぶ磁気シールドが不可欠です。本システムでは、最適化された磁場構成として「ダイポール・トロイダル磁気圏(DTM: Dipolar Toroidal Magnetosphere)」を採用します。DTMは、宇宙船や基地の居住区外部に配置された一方向のトロイダル高温超伝導(HTSC)コイルのアレイによって生成される外部双極子場です。
この構成の最大の利点は、双極子磁場が宇宙船の居住区シェルに対して常に垂直に作用し、飛来する等方性のGCRや荷電粒子兵器に対して全方位的な偏向シールドを提供することです。電磁気学的な設計において、トロイダル電流は宇宙船のシェルを定磁束境界として維持するようにポロイダル方向に流れるよう制御されます。これにより、居住区内部の磁束 Φ は常にゼロ(Φ = 0)に保たれます。この特性により、内部の乗組員や精密な電子機器への深刻な磁気干渉を防ぐための重厚なキャンセリング・コイルが不要となり、システム全体の構造質量が劇的に削減されます。さらに、閉じた磁気トポロジーを持つ従来のシールド設計で致命的な問題となっていた、磁石自体が放射線を吸収して二次粒子を放射する「二次粒子被曝」のリスクも、DTM構成によって完全に排除されます。
3.2 レーザー誘起プラズマチャンネル(LIPC)による衝撃波および指向性エネルギーの減衰
近接爆発による衝撃波や、飛来するミサイル・高エネルギー兵器から構造物を守るため、システムは「第二の媒質」としての高密度プラズマ場を空間に瞬間的に生成するアーク発生器を利用します。このメカニズムは、米ボーイング社が取得した特許(US8981261B1)の概念を深宇宙および大気圏内での戦闘用に高度に拡張したものです。
防衛シーケンスは以下のプロセスで実行されます。
まず、構造物表面に配置された超高感度センサーネットワークが、爆発や兵器の発射といった衝撃波または高エネルギーの発生事象を検知します。内蔵された計算機(または後述する量子コンピュータ)が、脅威の方向、距離、および到達時間を瞬時に推定し、最適な「発射計画(Firing plan)」を策定します。
次に、アーク発生器が発射計画に基づき、高強度のレーザーパルスを収束軌道に沿って発射します。このレーザーの波長と強度は、経路上の空間(大気または残留ガス)を強制的に電離し、導電性の経路である「レーザー誘起プラズマチャンネル(LIPC)」を形成するように精密に調整されています。真空環境下においても、ターゲットの局所的なガス放出や、微小な犠牲物質(サクリファイス・コンダクタ)の気化を利用して初期プラズマを生成することが可能です。
チャンネルが形成された瞬間、大容量電源(コンデンサ、超伝導エネルギー貯蔵コイル、または爆発的磁束圧縮ジェネレータなど)から、数ミリ秒単位で巨大な電圧が印加されます。この電圧によりLIPCに沿ってプラズマアークが形成され、電流の電気抵抗による猛烈なジュール加熱が発生します。この加熱は、該当領域の媒質の温度、密度、および組成を劇的に変化させます。具体的には、酸素などの二原子分子が単一原子に熱分解され、自由電子が大量に放出されることで、流体の平均モル質量が急激に低下します。
進行してくる衝撃波やエネルギーがこの「第二の媒質(トランジェント・プラズマ)」に接触すると、エネルギーは以下の物理的ベクトルを通じて急速に減衰・相殺されます。
-
熱力学的エネルギー変換: 衝撃波の持つ巨大な運動エネルギーの一部が、空気やガスのさらなる電離エネルギー、および膨張した超高温プラズマの圧力・体積・温度(PVT)エネルギーへと変換され、物理的な衝撃が熱力学的に吸収されます。
-
力学的仕事による減衰: 衝撃波によってプラズマチャンネル自体が内側に変形・圧縮される際、このプラズマの流体力学的な移動が「力学的仕事」を行い、衝撃波から直接エネルギーを奪います。
-
電磁的フィードバックとエネルギー回生: プラズマチャンネル内に形成された磁束が物理的衝撃によって圧縮されると、ファラデーの電磁誘導の法則に従い、プラズマ内の電流がさらに増大します。この過剰な電流は、システムの電源をバイパスして抵抗負荷に逃がされて熱として散逸するか、あるいはコンデンサに充電され、次弾の迎撃用エネルギーとして再利用(回生)されます。
3.3 高出力マイクロ波(HPM)駆動プラズマ航跡場の応用
従来のプラズマ生成・加速は、フェムト秒レーザーシステムに依存しており、大規模な展開にはエネルギー効率の課題がありました。これを補完するため、低密度のプラズマが充填された導波管構造(構造物の外殻に沿って配置)内に短パルスのマイクロ波を注入し、プラズマ航跡場(Wakefield)を励起する手法が併用されます。これにより、従来のRF限界(100 MV/m未満)を遥かに超えるギガボルト毎メートル(GV/m)オーダーの強力な縦方向静電波が形成され、敵の荷電粒子ビームやプラズマ兵器の軌道を完全に逸らす、あるいは拡散させるための強力な静電バッファーとして機能します。

4. 第二層:電磁誘導制動と運動エネルギー散逸機構
第一層のプラズマおよび磁気シールドは荷電粒子や電磁波に対して極めて有効ですが、質量を持たないエネルギー兵器とは異なり、レールガン(電磁投射砲)に代表される極超音速の質量兵器(速度 5 km/s から 10 km/s 以上)に対しては、プラズマ層だけでは物理的な貫通を完全に防ぐことは困難です。質量兵器に対しては、強力な磁場を用いた電磁気学的な制動(ブレーキ)が最も有効なマクロスケールの防衛手段となります。
4.1 渦電流とローレンツ力による極超音速制動
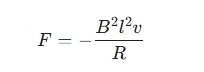
極超音速で飛来する金属製または導電性のプロジェクタイル(弾頭)が、防御システムが展開する強力な磁場(数テスラから数十テスラ)に突入すると、レンツの法則に従い、プロジェクタイル内部の急激な磁束の変化を打ち消す方向へ猛烈な渦電流(Eddy currents)が発生します。この内部渦電流と外部の防御磁場との相互作用により、弾頭の進行方向とは正確に逆向きの強大なローレンツ力が働きます。この非接触の電磁制動力 F は、理論的に以下の式で近似されます。

ここで、B はバリアが生成する磁束密度、l は弾頭が磁場と相互作用する有効長(導体長)、v はプロジェクタイルの速度、R はプロジェクタイルの電気抵抗です。この定式化が示す通り、制動力は速度 v に正比例し、磁場 B の2乗に比例します。したがって、レールガンのような極超音速兵器( v が極めて大きい)であるほど、磁場圏に突入した瞬間に受ける初期の制動力は指数関数的に増大し、弾頭は文字通り「見えない壁」に衝突したかのような劇的な減速を強いられます。
例えば、質量 2 kg のレールガン弾頭が秒速 5 km で飛来した場合、これを物理的な装甲のみで受け止めれば宇宙船全体に致命的な衝撃(Delta-V)を与えますが、電磁ブレーキを適用することで、衝撃を空間全体に分散させ、船体への急激な加速度負荷を制御可能なレベル(例: 数ミリ秒の間に 1G 程度のマイルドな減速)まで引き下げることができます。
4.2 ジュール熱の管理とプラズマ・フラッシュ(Flash)の制御
電磁制動によってプロジェクタイルから奪われた巨大な運動エネルギーは消失するわけではなく、渦電流によるジュール熱( H )としてプロジェクタイル自身と防御システムの磁気ライナー(防壁側のアンテナやコイル)の間で散逸します。
極超音速での強磁場への突入、および急激な減速時には、プロジェクタイル自体が耐えきれずに相転移を起こし、融解・気化を超えてプラズマ化します。平滑粒子法(SPH: Smoothed Particle Hydrodynamics)を用いた流体力学および電磁気学の結合シミュレーションによれば、アルミニウムなどのプロジェクタイルが極超音速(例:7.32 km/s等)で相互作用した場合、強烈なプラズマ・フラッシュ(黒体放射スペクトルに従う熱放射)と強力な自己磁場が発生することが確認されています。シミュレーション結果は、衝突(または制動)速度が上がるにつれて、生成されるプラズマ電荷およびそれに伴う磁場強度が著しく増大することを示しています。
この現象は、防御側にとって脅威であると同時に利点でもあります。極超音速弾頭が自己の運動エネルギーによってプラズマ化・蒸発することで、単一の貫通体としての構造的完全性を失い、破壊力の低いプラズマの雲へと拡散するからです。発生したプラズマ・フラッシュの輻射熱と自己磁場のエネルギーは、前述の第一層(プラズマ・ウィンドウ)および後述の第三層(メタマテリアル装甲)において吸収・再分散される仕組みとなっています。

5. 第三層:超伝導体およびメタマテリアル複合装甲の製造・実装方法
磁気シールドの展開基盤を提供し、同時に制動層をすり抜けた物理的な破片(デブリ)や、高出力マイクロ波(HPM)などの指向性エネルギー兵器を完全に遮断するためには、特殊な構造と電磁気的特性を持つナノマテリアル・メタマテリアル複合装甲が必要です。
5.1 高温超伝導体(HTSC)MgB2コイルの3Dプリント製造
第一層および第二層の防御を可能にする強力な磁場(DTM)を形成するための巨大な電磁石コイルには、二ホウ化マグネシウム(MgB2)が最適です。MgB2は宇宙空間の低温環境(液体水素や極低温の真空)において優れた超伝導性を発揮し、グラファイトに似たホウ素平面における高い振動エネルギーに起因して高い臨界電流密度を持ちます。また、マグネシウムとホウ素は宇宙空間でも比較的容易に調達可能な安価で豊富な元素であり、その密度はアルミニウムと同等であるため、従来のニオブ系や銀被覆の超伝導体と比較して劇的な軽量化が可能です。
製造手法として、米コーネル大学の研究に基づく「ワンステップ3Dプリント法」が採用されます。この画期的な手法では、共重合体(ブロックコポリマー)と無機ナノ粒子を混合した特殊なインクを使用します。3Dプリントのノズルから押し出される過程で、コポリマーが自己組織化を起こして規則的なナノスケール構造を形成し、その後の熱処理(焼結)によってポリマー成分が除去され、多孔質の結晶性超伝導体に変換されます。これにより、原子スケールの結晶格子、メゾ構造の格子、およびマクロスケールの複雑なコイル形状という3つの異なるスケールで構造が制御された、記録的な表面積と性能を持つ超伝導部品を軌道上でオンデマンド製造することが可能となります。
5.2 グラフェンおよびカーボンナノチューブ(CNT)メタマテリアル装甲
第三層の物理装甲は、敵の高出力マイクロ波(HPM)兵器からの防御(電磁波干渉:EMI遮蔽)と、微小な物理的衝撃の吸収を同時に担います。従来のアルミニウムベースの金属基複合材料(MMC)は100 dB以上の遮蔽効果と高い放熱性を提供しますが、重量の観点から、最先端の軽量防御材として、グラフェンとポリウレタン(TPU)またはポリ乳酸(PLA)をマトリックスとしたカーボンナノチューブ(CNT)複合層状メタマテリアルが利用されます。
この装甲は、単一の素材ではなく「グラディエント・ラミネート(傾斜積層)設計」と呼ばれる多層構造を持ちます。電磁波が装甲に入射する際、急激なインピーダンス(媒質間の電気的抵抗)の不整合があると、電磁波は反射(SER: Shielding Effectiveness of Reflection)してしまいます。反射した電波は自艦のセンサーに悪影響を及ぼす可能性があるため、外側から内側に向けて導電性の高いMWCNT(多層カーボンナノチューブ)の濃度を段階的に高める構造とします。これにより、空間と装甲のインピーダンスを整合させて反射を最小限(8 dB以下)に抑えつつ、内部での電磁波の吸収損失(SEA: Shielding Effectiveness of Absorption)を最大化します。
さらに、グラフェンナノシートとCNTを組み合わせた三次元的な補強構造(GNS-CNT構造)は、入射電磁波の吸収損失を劇的に改善し、純粋なCNTやグラフェン単体の複合材と比較して、全遮蔽効率(SET)を20%以上向上させます。また、特定の周波数帯域で負の屈折率を持つように設計された誘電体メタマテリアル構造(例えば、3DプリントされたTPU/CNTの周期的な多孔質構造)は、自艦の通信用電波を低損失で透過させつつ、敵の有害な放射線の進行方向を物理的に逸らす「放射線シールド」として機能します。グラフェンは物理的な強度においてもエポキシ複合材の破断や疲労破壊を劇的に防ぐため、運動エネルギー弾の残骸による二次被害を食い止めます。
5.3 巨大構造物の軌道上ロボット組立て(ORASP)
直径数十メートルに及ぶ磁気コイルや多層装甲を展開するためには、地球からの打ち上げ能力の限界から、軌道上での自動組立てが必要となります。本システムでは、単一の多関節マニピュレータを搭載したロボット群(Swarm-bots)による自律的な軌道上組立てアーキテクチャが導入されます。
この巨大構造物の組立て手順計画(Assembly Planning)は、マルコフ決定過程(MDP)として数学的にモデル化され、深層強化学習(RL)および動的計画法(DP)を用いた「グラフ探索アセンブリプランナ(GEAP)」によって最適化されます。これにより、部品の接続順序の前提条件(Precedence constraints)、ロボットアームの可搬重量制限、および宇宙空間特有の熱的・磁気的制約をリアルタイムで満たす、最もエネルギー効率が良く迅速な組立てシーケンスが導き出されます。過去にジェイムズ・ウェッブ宇宙望遠鏡(JWST)や国際宇宙ステーション(ISS)の組立てモデルで実証されたアルゴリズムを応用し、自己展開型のトラス構造と組み合わせることで、完全自動でのバリア基盤構築が実現します。

6. 究極的防御機構:量子真空エンジニアリング
物理的な装甲や電磁シールドが限界に達した場合の最終防壁、あるいは構造材自体の絶対的な強度を根底から引き上げる究極の技術として、最新の量子場理論の応用がアーキテクチャの最深部に組み込まれます。これはSFにおける「力場(Force Field)」の概念に最も近い、微視的空間の物理法則そのものを書き換えるアプローチです。
6.1 真空ドレスト・マテリアル(Vacuum Dressed Materials)
量子電磁力学(QED)によれば、宇宙空間の「真空」は完全な「無」ではなく、ゼロ点エネルギー(Zero-Point Energy)に対応する仮想光子(Virtual photons)の電磁場揺らぎで満たされています。自発放出やラムシフト、カシミール効果といった現象はすべてこの真空の揺らぎに起因しています。
最新の理論と実験によれば、物質を特定の「フォトニック・キャビティ(微小共振器構造)」内に配置することで、外部からの電磁場が一切存在しない状態であっても、物質と真空の電磁場揺らぎを強結合させることが可能です。この結合状態にある物質は「真空ドレスト・マテリアル(Vacuum-dressed material)」と呼ばれます。装甲のナノ構造をこのキャビティとして設計し、真空の揺らぎをエンジニアリングすることで、装甲材を構成する原子の自己修飾(Self-dressing)プロセスが促進されます。その結果、電子状態や振動状態が非直感的な形で変化し、原子間の共有結合の強度が人為的に引き上げられます。これにより、従来の物理化学的限界を超えた、超高強度の「強化装甲」が誕生します。
6.2 カシミール反発力による近接排斥場
通常のカシミール効果は、真空の揺らぎによって2つの平行な無電荷の金属板の間に「引力」をもたらします。しかし、誘電率および透磁率を精密に制御した特定のメタマテリアル、特に三次元トポロジカル絶縁体や複屈折材料を使用することで、この力を「反発力(Repulsive Casimir Force)」に逆転させることが可能であることが実証されています。
防御バリアの文脈においては、この超微小スケールでの反発効果を、マクロスケールの衝撃吸収および排斥機構へとスケールアップする構造が採用されます。装甲の最表面(または内部のナノ階層)において、侵入してきた極超音速弾頭の破片やプラズマの最前線に対し、トポロジカル絶縁体のコーティングが真空の揺らぎを介して干渉します。これにより、物理的に接触する直前(数ナノメートルから数十ナノメートルの領域)で量子力学的な斥力場が発生し、装甲の物理的摩耗、浸食、および貫通を極限まで遅延・相殺します。これは「触れる前に弾き返す」という、真の意味での力場バリアとして機能します。

7. 制御システム:量子コンピューティングによる磁気流体力学(MHD)制御
上述した、プラズマの乱流、100テスラ級の高磁場、極超音速弾による渦電流、および量子真空効果という複数の非線形かつ極限的な物理現象を同時に維持・統合・制御するためには、古典的なスーパーコンピュータでは計算資源と応答速度が根本的に不足します。そのため、本システムの頭脳には量子コンピューティング(QC)が導入されます。
7.1 MHD不安定性のリアルタイム予測と制御
トカマク型やステラレータ型の核融合炉の研究から明らかなように、高エネルギーのプラズマは外部磁場のわずかな非対称性
によって回転にブレーキがかかり、テアリング不安定性やキンク不安定性といった「磁気流体力学(MHD)不安定性」を引き起こします。シールドを構成する第一層のプラズマ・ウィンドウも同様に、敵の攻撃(局所的なエネルギーの急激な注入)によって巨視的(マクロ)な不安定性を生じ、熱や衝撃を遮断する能力を突如失って崩壊(ディスラプション)する危険性を常に孕んでいます。
これを防ぐため、量子コンピュータ上で動作する変分量子固有値ソルバー(VQE: Variational Quantum Eigensolver)や量子近似最適化アルゴリズム(QAOA)、および鈴木=トロッター分解(Suzuki-Trotter Decomposition)といった高度な量子アルゴリズムを用いて、プラズマ内の複雑な波と粒子の相互作用や乱流のエネルギー固有値を高精度で並列計算します。
センサーネットワーク(MEG技術を応用し、動的なノイズリダクションと能動的補償を行った超高感度磁気センサー)から得られたリアルタイムの磁場とプラズマ密度データを量子プロセッサに入力し、システムの非対称補償コイル(エラーフィールド補償用コイル)の制御出力を瞬時に最適化します。これにより、抵抗性壁モード(RWM: Resistive Wall Mode)などの不安定性を、物理的限界である「ノーウォール限界(no-wall limit)」を超えた高ベータ領域(プラズマ圧力と磁気圧の比率が高い状態)であっても完全に抑制し、強固で安定したシールドを維持することが可能となります。

8. 考察 (Insights and Implications)
上記に定義した複合防御力場の設計仕様を統合的に分析することで、単なる個別技術の足し合わせを超えた、システムの第二・第三次の波及効果(Second and Third-order Insights)および運用上の重大な意味合いが浮き彫りになります。
8.1 磁場とプラズマの非線形相互作用による自己収束効果(Self-Collimation)と動的防御壁
防壁の第一層において、100テスラを超える極めて強力な軸方向磁場環境下にレーザー誘起プラズマチャンネル(LIPC)を生成した場合、プラズマは空間に拡散することなく、磁力線に沿って高度にコリメート(自己収束および平行化)される現象がパルスパワー実験(1 MA Zebra発電機および50-TW Leopardレーザーを使用)によって確認されています。
これは、システムが生成するダイポール・トロイダル磁気圏(DTM)が単に宇宙線を逸らす受動的な磁気シールドとして機能するだけでなく、プラズマ兵器や対爆発用プラズマ・ウィンドウを展開するための「不可視の導波管(ガイドレール)」として機能することを意味します。敵の攻撃ベクトルを検知した瞬間、システムはそのベクトル上の磁束密度を局所的に高め、そこにレーザーを照射することで、瞬時に極めて密度の高いプラズマの「防御の柱」をピンポイントで構築できます。つまり、バリアは常に全方位に最大出力で展開されてエネルギーを浪費する必要はなく、脅威の接近に伴ってその場に自己組織化する、極めて動的かつ省エネルギーな壁として振る舞うのです。
8.2 攻撃エネルギーの防壁維持への変換(熱力学的・電磁的寄生フィードバックループ)
本システムの最も洗練された工学的特徴は、敵対的な攻撃エネルギーを自らの防御力(電力)へと変換する「寄生的なエネルギー回生プロセス」にあります。レールガンによる極超音速弾の攻撃を受けた際、第二層の電磁誘導ブレーキは、数ギガワット単位のジュール熱と誘導電流を発生させます。また、第一層のプラズマ・ウィンドウが爆発の衝撃波に押し込まれた際にも、プラズマ内の磁束圧縮により過剰な電流サージが生じます。
通常のシステムであれば、これらの強大なエネルギーサージは回路の焼損や熱的暴走(破壊)を招きます。しかし、本アーキテクチャではこれらのサージ電流を大容量のHTSCスーパーキャパシタにバイパスし、即座に次弾迎撃用のLIPCを形成するための高出力レーザー電源や、量子MHD制御用の補償コイルの電力としてダイレクトに再利用(回生)する設計となっています。このフィードバックループの存在により、「敵の攻撃が激しく、運動エネルギーが大きいほど、バリアを構成する電磁的強度が一時的に増幅される」という非線形な防御応答が実現します。これは消耗戦において防御側を圧倒的に有利にするメカニズムです。
8.3 プラズマステルス効果に伴う「盲目化」と量子通信の必然性
強固な防御バリアを展開する上で生じる戦術上の重大な副作用(トレードオフ)として、自艦のセンシングおよび通信能力の喪失、すなわち「盲目化」が挙げられます。高密度のプラズマ雲は電磁波を激しく吸収または反射し、いわゆるプラズマステルス効果(またはブラックアウト現象)をもたらします。
シールドを構成するプラズマの電子プラズマ周波数以下の電磁波(可視光、通常のレーダー波、無線通信など)は完全に遮断されるため、高密度プラズマシールドを全方位に展開中の艦船は、外部の状況をパッシブセンサーで把握することが極めて困難になります。
この致命的な課題を克服するためには、バリアの外部空間(プラズマ層の外側)に複数の観測用小型ドローン(センサーノード)を常時配置し、それらと艦船のメインコンピュータとの間を「量子もつれ(Quantum Entanglement)」を利用した量子通信で接続する設計が不可欠となります。量子通信であれば、間に極めて高密度なプラズマや強力な電磁気的干渉が存在しても情報伝達が阻害されないため、外部の三次元状況(敵の次弾の軌道や艦隊の配置など)を遅延なく確実に取り込み、量子コンピュータによるMHD制御や回避行動へとフィードバックすることが可能になります。
8.4 極限質量・エネルギー密度の局所的時空構造への影響とリスク
第四層で言及した量子真空エンジニアリングにおいて、ゼロ点エネルギーの抽出や、真空揺らぎの確率分布を人為的にバイアスして物質を補強する技術は、防御対象の材料強度を飛躍的に向上させる画期的な手法です。しかし一方で、深刻な物理的リスクを内包しています。
NASAのブレイクスルー推進物理学プロジェクト(BPP)などの先駆的な研究において警告されているように、真空エネルギー(核エネルギーの
倍以上とされる絶対的なエネルギー密度を持つ)の局所的かつ急激な操作・抽出は、近傍の時空構造に強烈な摂動を引き起こす可能性があります。このようなアグレッシブな量子真空のエンジニアリングは、意図しない重力波の発生や、局所的な時空の不安定化(最悪の場合、微小な事象の地平面の形成や、ワープドライブ航行中であればワープバブルの致命的な崩壊など)を招くリスクが指摘されています。
したがって、カシミール反発場や真空ドレスト・マテリアルの適用は、宇宙船の最奥部のコア構造や、核融合反応炉周辺といった極小かつ絶対防衛が必要な領域に限定されるべきです。また、時空のトポロジーに対するマクロな影響を常時監視するためのレーザー干渉計(重力波検知器の超小型版)をシステム内に組み込む、多重のフェイルセーフ設計が運用上の必須条件となります。

9. まとめ
この記事で定義した宇宙艦船および地球外基地防衛用の「複合防御力場(バリア)」は、単一のSF的架空技術に依存するものではなく、プラズマ物理学、超伝導電磁気学、高出力マイクロ波工学、メタマテリアル設計、および量子真空制御といった、現在地球上で進行している複数の最先端物理学領域の統合によって実現される、極めて現実的かつ精緻なエンジニアリングの産物です。
このシステムは、外部からのエネルギー的・物理的脅威をダイポール・トロイダル磁気圏とレーザー誘起プラズマで蒸発・偏向させ、極超音速の運動エネルギー弾を電磁誘導制動によって熱と回生電流に変換し、残留する電磁波や物理衝撃を3DプリントされたMgB2超伝導体とグラフェン積層メタマテリアルで完全に遮断し、最後に量子真空の揺らぎを利用したカシミール反発力で構造的破壊を根底から防ぐという、完璧な階層防衛を実現します。
これらの多岐にわたる複雑な非線形プロセスを、量子コンピュータによるリアルタイムの磁気流体力学(MHD)制御によって破綻なく協調させることで、極限環境下での完全な防衛網が構築されます。この巨大なシステムの建造には、軌道上における自律的な巨大ロボットネットワーク(ORASPや強化学習に基づく自己組立て)の確立と、制動やプラズマ維持に伴って発生する桁外れの排熱を管理・利用する熱力学ソリューションの開発が、今後の最大のエンジニアリング課題となります。しかし、その理論的枠組みと製造仕様は既に現代の物理法則の延長線上に明確に描かれており、深宇宙探査および恒星間空間における人類のインフラストラクチャ防衛の確固たる基盤となるものです。

参考リスト
- Appendix D – National Space Society (nss.org)
- Radiation Protection and Architecture Utilizing High Temperature Superconducting Magnets (nasa.gov)
- Plasma window – Wikipedia (en.wikipedia.org)
- US8981261B1 – Method and system for shockwave attenuation via … (patents.google.com)
- Spacecraft -Scale Magnetospheric Protection from Galactic Cosmic Radiation: NIAC Phase II Final Report – NTRS (ntrs.nasa.gov)
- Electromagnetic Braking of a Metallic Projectile in Flight – DTIC (apps.dtic.mil)
- Revision Notes – Eddy currents and magnetic braking | Electromagnetic Induction | Physics C – Sparkl (sparkl.me)
- Top EMI Shielding Materials for Defense Systems – Modus Advanced (modusadvanced.com)
- Electromagnetic Radiation Shielding Using Carbon Nanotube and Nanoparticle Composites (mdpi.com)
- Multilayered Composites with Carbon Nanotubes for Electromagnetic Shielding Application (mdpi.com)
- [2506.02170] Quantum Vacuum in Matter – arXiv (arxiv.org)
- (PDF) Repulsive Casimir Forces – ResearchGate (researchgate.net)
- A Brief Review of Some Recent Precision Casimir Force Measurements – MDPI (mdpi.com)
- (PDF) Magnetospheric Shielding of Spacecraft and Crew From Galactic Cosmic Radiation (researchgate.net)
- Spacecraft -Scale Magnetospheric Protection from Galactic Cosmic … (ntrs.nasa.gov)
- Boeing patents a ‘Method and system for shockwave attenuation,’ aka force field – YouTube (youtube.com)
- Experimental Study of Nanosecond Laser-Generated Plasma Channels – MDPI (mdpi.com)
- Lifetime, Size and Emission of Laser-Induced Plasmas for In-Situ Analysis on Planetary Bodies. F. Seel1, S. Schröder1, E. Clav (elib.dlr.de)
- High-intensity nanosecond-pulsed laser-induced plasma in air, water, and vacuum: A comparative study of the early-stage evolution using a physics-based predictive model – OSTI (osti.gov)
- Particle-in-cell simulations of plasma wakefield formation in microwave waveguides (arxiv.org)
- High-Power Microwave Driven Plasma Wakefield in a Cylindrical Waveguide | Request PDF (researchgate.net)
- Directed Energy Weapons: High Power Microwaves | Office of Naval Research – Navy.mil (onr.navy.mil)
- Magnetic braking: Finding the effective length over which the eddy currents form – Wooster Physics (physics.wooster.edu)
- In my copy of Cibola Burn, it states that the rail gun fires at 5000m/s, but I’m almost certain that’s wrong… – Reddit (reddit.com)
- Electromagnetic braking: A simple quantitative model (users.manchester.edu)
- Generation of electromagnetic effect and flash in hypervelocity impact of aluminum projectile on aluminum target – Beijing Institute of Technology (pure.bit.edu.cn)
- PRESSURES MEAS~REMENTSOF SHOCK WAVE GENERATED BY HYPERVELOCITY IMPACTS IN ALUMINUM – NTRS (ntrs.nasa.gov)
- A new defense concept: energy shield. (explained with irl physics) : r/TerraInvicta – Reddit (reddit.com)
- Superconductor MgB2 – National MagLab (nationalmaglab.org)
- A superconducting shield for astronauts – CERN (home.cern)
- 3D-printed superconductor achieves record performance | Cornell … (news.cornell.edu)
- New 3D printing process could improve superconductors — scientists use 3D-printed ink and heat to create record-breaking surface area | Tom’s Hardware (tomshardware.com)
- Fermilab-funded research demonstrates new method for 3D printing high-temperature superconductors (news.fnal.gov)
- Analysis of Broadband Metamaterial Shielding for Counter-Directed Energy Weapons (mobilityengineeringtech.com)
- Materials and Applications for Electromagnetic Interference Shielding – DSIAC (dsiac.dtic.mil)
- 3D Printing of Periodic Porous Metamaterials for Tunable Electromagnetic Shielding Across Broad Frequencies – PMC (pmc.ncbi.nlm.nih.gov)
- Enhanced Mechanical and Electromagnetic Shielding Properties of Mg Matrix Layered Composites Reinforced with Hybrid Graphene Nanosheet (GNS)–Carbon Nanotube (CNT) Networks – PMC (pmc.ncbi.nlm.nih.gov)
- Metamaterials for Defence (defenceonline.co.uk)
- Electromagnetic Metamaterials and Metasurfaces | Frontiers Research Topic (frontiersin.org)
- Additive Manufacturing of Multi-Material Systems for Aerospace Applications (ntrs.nasa.gov)
- Graphene Outperforms Carbon Nanotubes for Creating Stronger, More Crack-Resistant Materials | News (news.rpi.edu)
- The NASA Task Book (taskbook.nasaprs.com)
- Robotic architectures for the on-orbit assembly of large space telescopes – ResearchGate (researchgate.net)
- Optimal Robotic Assembly Sequence Planning (ORASP): A Sequential Decision-Making Approach – arXiv (arxiv.org)
- In-space Assembly of Large Telescopes for Exoplanet Direct Imaging – NASA (nasa.gov)
- Vacuum Self-Dressing of an Atom and Its Physical Effects – MDPI (mdpi.com)
- Attractive and Repulsive Casimir–Lifshitz Forces, QED Torques, and Applications to Nanomachines – UO Atom Optics (atomoptics-nas.uoregon.edu)
- The role of quantum computing in advancing plasma physics simulations for fusion energy and high-energy – Frontiers (frontiersin.org)
- Magnetic control of magnetohydrodynamic instabilities in tokamaks – OSTI.GOV (osti.gov)
- Magnetic control of magnetohydrodynamic instabilities in tokamaks – AIP Publishing (pubs.aip.org)
- Research | Princeton Plasma Physics Laboratory (pppl.gov)
- Application of Quantum Computing Algorithms in the Synthesis of Control Systems for Dynamic Objects – MDPI (mdpi.com)
- Quantum Computing for Plasma Physics: State of the Art and Potential Opportunities – Princeton University (princeton.edu)
- Real-Time Motion-Adaptive Active Magnetic Shielding for MEG with Enhanced Response Speed – PubMed (pubmed.ncbi.nlm.nih.gov)
- Real-Time Motion-Adaptive Active Magnetic Shielding for MEG with Enhanced Response Speed – ResearchGate (researchgate.net)
- Experimental platform for investigations of high-intensity laser plasma interactions in the magnetic field of a pulsed power generator (Journal Article) | OSTI.GOV (osti.gov)
- Properties of magnetically confined plasma shielding – Worldbuilding Stack Exchange (worldbuilding.stackexchange.com)
- [2303.03455] Biasing the quantum vacuum to control macroscopic probability distributions (arxiv.org)
- Biasing the quantum vacuum to control macroscopic probability distributions – PubMed (pubmed.ncbi.nlm.nih.gov)
- Quantum Vacuum Energy Extraction from the Void for Advanced Pro (medium.com)

